Live Blogger: Jennifer Baker
Editor: Madeline Barron
This piece was written live during the 6th annual RNA Symposium: Towards our Future of RNA Therapeutics, hosted by the University of Michigan’s Center for RNA Biomedicine. Follow MiSciWriter’s coverage of this event on Twitter with the hashtag #umichrna.
When Dr. Jack Szostak is asked to start at the beginning, he takes that request seriously. In the first keynote address of the 6th annual RNA Symposium, Dr. Szostak took attendees back to the beginning of RNA itself. While this may seem like a strange decision to people attending a symposium centered around the future of RNA therapeutics, Dr. Szostak knows the wisdom of this approach well.
Dr. Szostak has studied self-replicating molecules like RNA for decades. While modern cells now use DNA as their genetic material, scientists believe that RNA (ribonucleic acid) was instrumental in the development of the DNA-based world we now inhabit. This is because RNA is a versatile molecule. It has the ability to act as an enzyme to catalyze chemical reactions, including the ones that construct more copies of itself.
Scientists like Dr. Szostak believe that this self-replicating quality was the key to the emergence of cellular life in the chemical world. But how did RNA itself develop from elemental ingredients?
The structure of RNA has changed over time
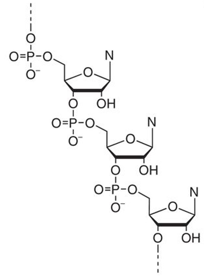
If you consult a biology textbook, it’s likely that you’ll find an illustration of RNA that looks something like this:
Figure 1: The structure of RNA. N represents the point of attachment of the bases to the alternating ribose/phosphate chain (image source).
RNA is made from long strands of three repeating chemical components: a geometric sugar called ribose, a cluster of phosphorus and oxygen called phosphate, and four different variations of nitrogen-containing molecules called bases.
The ribose and phosphate alternate in a chain to form the length of the molecule, giving the RNA structural integrity. The bases are fixed to this ribose-phosphate chain at regular intervals, sticking out like charms on a bracelet. And, similar to bracelet charms, these bases communicate a message. Base order and identity encode instructions for all sorts of cellular tasks. But just as human languages change over time as new generations invent slang, the chemical language in which these instructions are written has also changed.
Understanding the evolution of this chemical language is the heart of Dr. Szostak’s research. His team simulates the geochemical conditions that may have occurred early in RNA development. This approach allows them to understand how the chemical ingredients for RNA sequentially recombine to form more complex molecules without the help of enzymes, which did not exist in a prebiotic world.
Self-replication: a primer
RNA, like DNA, encodes instructions for constructing molecules. However, unlike DNA, RNA can self-replicate, or produce more copies of itself, which is key for its ability to persist and evolve before protein enzymes like polymerase existed.
RNA’s ability to self-replicate is based on its biochemistry (pun intended). Its bases “stick” to each other in pairs, which enables an existing RNA strand to “prime” the production of a new strand by serving as the template for a new RNA strand of complementary sequence. The “sticky” temporary interactions of the bases allow the new strand to elongate by bringing ribose-phosphate-base units close enough to bind permanently to the growing ribose-phosphate chain. Eventually, the “stickiness” of the bases is not enough to hold the new RNA together with the template RNA, and the strands separate, resulting in the new strand becoming available for use as a template in the next round of self-replication.

“Messy mixtures yield messy oligos”
However, RNA’s ability to self-replicate is only one nucleotide of the strand, so to speak! Since RNA templates are needed for self-replication, Dr. Szostak emphasizes that it is critical to consider the templates that were used in the prebiotic self-replication process.
Chemists simulating reactions with RNA in the lab have access to purified chemicals, but prebiotic chemistry was much messier. During the synthesis of RNA chemical precursors, such as ribose, other similar molecules are also created. This is because molecules made of the same atoms can assemble in different arrangements or spatial orientations. For example, the sugars arabinose and threose share a close synthesis pathway with ribose and can also form sugar-phosphate-base complexes that join together into longer strands.

Given that ribose, arabinose, and threose were all available to react in the prebiotic world, Dr. Szostak explains that all three would have been present in self-assembled templates. These templates form in a variety of ways, including along mineral surfaces or in freezing conditions, when chemicals dissolved in water are concentrated in pockets between ice crystals. The end result of this process is short RNA templates containing a mixture of ribose, arabinose, and threose, which Dr. Szostak calls “messy oligos”.
Racing ribose
Interestingly, threose actually is easier to synthesize in the lab under simulated prebiotic conditions than ribose. If this is the case, and prebiotic geochemistry included arabinose and ribose too, why did RNA (which only contains ribose) win out as the first genetic material and persist in modern cells? That is, why doesn’t the RNA we know and love have a backbone composed of threose or arabinose? According to Dr. Szostak, it comes down to the reactivity of each molecule during self-replication.
To figure this out, members of Dr. Szostak’s lab raced RNA components made with arabinose, threose, or ribose and measured their reaction speeds during self-replication. They found that RNA components containing ribose react more quickly than those containing arabinose or threose. In reactions containing ribose and either arabinose or threose, the end RNA products contained nearly all ribose. Thus, being quick to react is a competitive advantage. In fact, new RNA molecules that contain arabinose or threose at the end of the chain are so slow to react that they essentially stop the synthesis of a new RNA molecule!
However, this stalling effect by arabinose and threose is not a problem in the template strand. New RNA strands that only contain ribose can also self-replicate with a template containing arabinose or threose (though templates containing only one type of sugar are preferred). In this way, the messy mixtures Dr. Szostak described at the beginning were purified into the RNA we know today.

Many discoveries–about the past and the future–remain to be made
Dr. Szostak concludes his talk by describing the next steps for his research. As he moves his lab to the University of Chicago, he hopes to continue answering questions about the origins of life, including how random template assembly and copying of short strands transitioned to high-fidelity copying of longer, non-linear, non-random nucleotide sequences. While answering a question from the audience, he also discusses the application of this work to RNA therapeutics. He sees his work’s potential to contribute to the development of nucleic acids that can catalyze chemical reactions or selectively bind to other biomolecules, which may be useful in therapeutics. Synthesizing these molecules was the first step for life on earth, and is also the first step to the practical application of these multi-functional molecules, preserving life for the foreseeable future.

Dr. Jack Szostak has studied self-replicating biomolecules for over 20 years. His vision for his research reaches as far back in time as it does forward, as these chemical systems provide insight into the origins of life and inform methods for guiding the laboratory evolution and construction of polymers. In addition to many patents and publications, Dr. Szostak shares a Nobel Prize in Physiology or Medicine with Drs. Elizabeth Blackburn and Carol Greider for their work on telomerase, the enzyme that protects the ends of our DNA from degrading. In the fall, Dr. Szostak will officially join the faculty at the University of Chicago from his long-standing appointments as investigator at Howard Hughes Medical Institute and Massachusetts General Hospital and professor at Harvard University.

